
前言
终身残疾是许多缺血性脑卒中患者的现实状况。超过60%的脑卒中患者存在持续性上肢运动功能障碍,这些功能障碍影响日常活动、社会参与和生活质量。约20%的脑卒中幸存者在发病后1年和5年时认为其生活质量非常差(相比之下匹配对照组仅为3%)。针对卒中后患者,亟需开发能有效改善损伤并实现持久功能恢复的干预方案。本报告旨在评估植入式迷走神经电刺激(VNS)联合康复治疗对缺血性脑卒中后上肢功能障碍患者在功能改善、活动能力和参与度方面的长期疗效。
研究方法及结果
第一阶段(双盲阶段):
19个临床中心参与:
试验组:N=53 对照组:N=55
入组标准:卒中后9个月-10年,FMA-UE评分20-50
治疗时间:每周进行约3天(每天90min),持续6周后进行评估(试验组0.8mA,对照组0.0mA),之后90天试验组每天接受30minVNS刺激(幅度0.8mA,30Hz,脉宽100μs,开0.5s,关10s)
结果
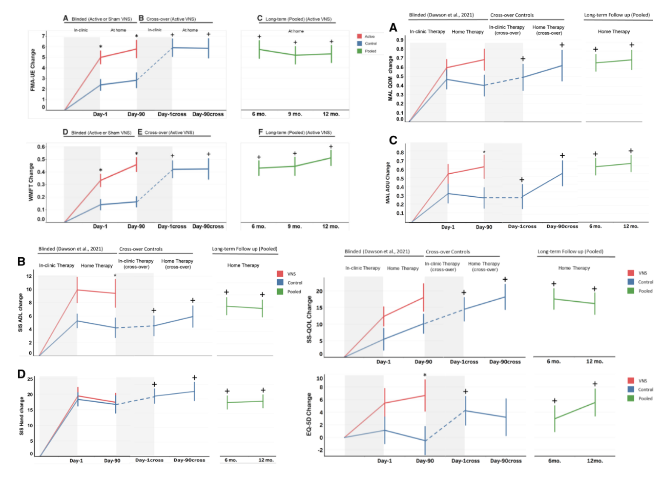
(1)治疗6周后(随访第1天),相比基线,试验组患者的FMA-UE(Fugl-Meyer评定量表上肢部分)平均评分增加5分,而对照组患者增加2.4分;
(2)随访第90天,试验组中47%的患者FMA-UE评分改善≥6分,而对照组仅为24%。

第二阶段(长期随访):
双盲结束后,对照组参与者交叉接受VNS刺激联合门诊治疗。所有参与者继续进行为期1年的家庭锻炼配合VNS电刺激治疗(居家锻炼或日常活动时自行开启VNS周期刺激即 :开0.5s,关10s,持续30分钟)。FMA-UE和WMFT(Wolf运动功能测试)在6、9和12个月时评估。患者报告结局指标(PROMs)仅在6个月和12个月时评估。
结果
(1)共74名参与者(69%;51名男性;平均年龄59.6±8.9岁)完成了1年随访并纳入数据分析;
(2)与基线相比,1年随访时FMA-UE评分改善5.23分(95%CI,4.08-6.39;P
(3)与基线相比,1年随访时WMFT评分提高0.50[95%CI,0.41-0.59];P
(4)与基线相比,1年随访时患者报告结局方面均有显著改善(MAL-QOM运动质量:0.64[95%CI,0.46-0.82],P

小结
接受植入式迷走神经电刺激(VNS)联合康复治疗对缺血性脑卒中后上肢功能障碍的患者在1年后仍保持上肢功能损伤、活动能力、参与度和生活质量指标的改善。目前FDA已批准VNS用于缺血性脑卒中后慢性上肢功能障碍患者的治疗,是长期有效并且可以显著提升患者生活质量的治疗方案。
参考文献:
Kimberley TJ, Cramer SC, Wolf SL, Liu C, Gochyyev P, Dawson J; VNS-REHAB Trial Group. Long-Term Outcomes of Vagus Nerve Stimulation Paired With Upper Extremity Rehabilitation After Stroke. Stroke. 2025 Aug;56(8):2255-2265. doi: 10.1161/STROKEAHA.124.050479. Epub 2025 May 7. PMID: 4032991